趣味知识,冷知识,让你涨知识!

发现、传播冷知识,让知识更有趣!

2024-09-15

辣椒也能用来做口红?

辣椒确实能用来做口红,主要是辣椒红素在起作用。

辣椒也能用来做口红?

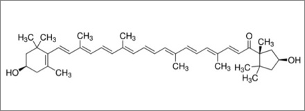
辣椒红素是红辣椒中富含的一种天然的四萜类色素物质,分子式为 C₄₀H₅₆O₃。

辣椒的颜色主要由辣椒红素决定,因此,辣椒能用来做口红,完全是辣椒红素的功劳。

辣椒也能用来做口红?

收藏